Inicia distribuição de 71 mil doses de CoronaVac
A Secretaria de Estado da Saúde deu início na manhã desta terça-feira, dia 2, em mais uma operação para entregas de vacinas em Santa Catarina. Foram encaminhadas 71.040 novas doses do imunizante Sinovac/CoronaVac.
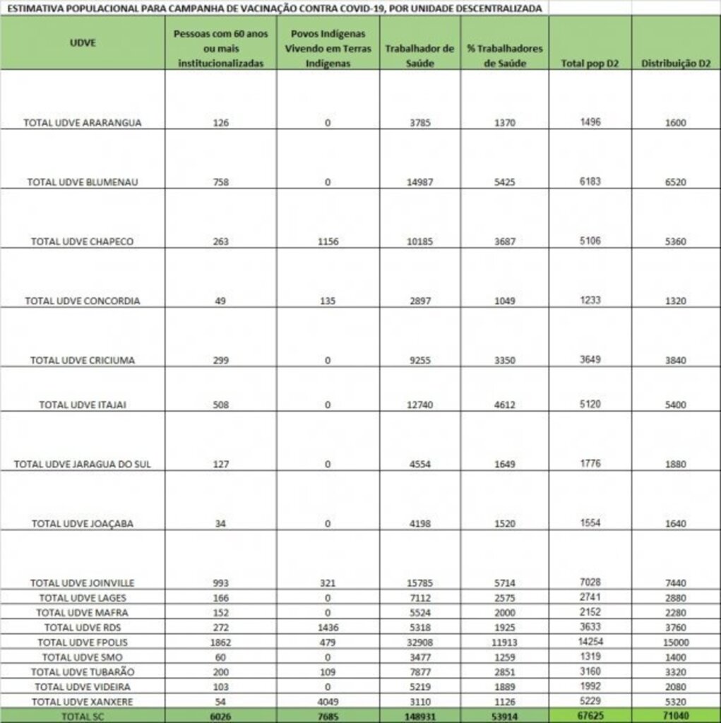
As doses foram encaminhadas às 17 unidades descentralizadas de Vigilância Epidemiológica de Santa Catarina: Grande Florianópolis, Tubarão, Itajaí, Blumenau, Joinville, Jaraguá do Sul, Videira, Joaçaba, Concórdia, Xanxerê, Chapecó, Criciúma, Araranguá, Mafra, Lages, Rio do Sul e São Miguel do Oeste.
Também foram encaminhadas 10.750 doses da Sinovac/CoronaVac às regionais. O montante faz parte da remessa de 21,6 mil frascos recebidos em 25 de janeiro. As doses serão aplicadas em profissionais de saúde que atuam na linha de frente contra o Coronavírus.
Parte das vacinas foi encaminhada para o hangar do Batalhão de Operações Aéreas, do Corpo de Bombeiros Militar de Santa Catarina, em Florianópolis. Dali, foram enviadas pela aeronave Arcanjo 02 para as localidades de Chapecó, São Miguel do Oeste, Xanxerê, Concórdia, Joaçaba e Videira.
Essa nova remessa atende aos municípios, conforme deliberação realizada em reunião extraordinária da Comissão Intergestores Bipartite e seguindo o Plano Nacional de Imunização. Ela servirá para a segunda dose de vacinação dos profissionais de saúde na linha de frente contra a Covid-19 e demais grupos prioritários. A primeira dose começou a ser aplicada no dia 18 de janeiro, poucas horas depois da chegada da primeira remessa do imunizante ao Estado.
O secretário de Estado da Saúde, André Motta Ribeiro, mais uma vez destacou a agilidade da distribuição das vacinas no Estado, permitindo que todas as regionais recebam o insumo o quanto antes para a aplicação da segunda dose aos profissionais de saúde. "O Estado não tem medido esforços para garantir que esse material seja entregue às regionais, e consequentemente, aos municípios, o quanto antes, permitindo que possamos rapidamente avançar nas etapas de imunização", destaca.
Mais sobre:









Deixe seu comentário